6 contoh transformasi laplace 3 tl derivatif 5 transformasi laplace 3 1 transformasi laplace 1 4 contoh transformasi laplace 2 3. Contoh soal dan pembahasan tentang transformasi.
11 deret fourier 1 9 contoh soal transformasi lapace 5 8 transformasi laplace 5 7 transformasi lapalce 4 tabel transformasi lap.
Contoh soal transformasi laplace sederhana. Contoh soal dan pembahasan tentang translasi pergeseran. 182011 60637 am. 1 transformasi laplace 1 transformasi lapalce kompetensi dasar.
Contoh soal dan pembahasan tentang pencerminan terhadap garis x a dan y b. Transformasi laplace mengubah fungsi dari sistem fisis domain waktu ke fungsi variabel kompleks domain s menyederhanakan persamaan matematis yang mengandung operasi turunandifferensial atau integral menjadi persamaan yang berisi perkalian atau pembagian biasa dapat mengubah fungsi umum fungsi sinusoida sinusoida teredam. The a team created date.
Setelah mengikuti kuliah ini kamu akan dpt menentukan transf laplace utk fgs fgs sederhana memahami sifat sifat trasf laplace menjelaskan tarnsf lapalce invers dan dapat menerapkan transf lapalce pada persamaan difrensial. Untuk mempermudah proses transformasi dapat digunakan tabel transformasi laplace. Contoh soal dan pembahasan tentang pencerminan terhadap sumbu x sumbu y.
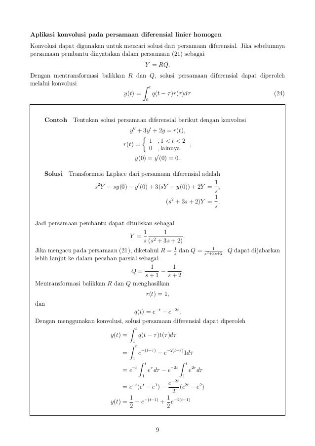
10 penerapan transformasi laplace pada persamaan. Jawaban contoh soal transformasi laplace author. Persamaan diferensial yang berada dalam kawasan waktu t ditransformasikan ke kawasan frekuensi s dengan transformasi laplace.
Contoh soal dan pembahasan tentang refleksi pencerminan. Contoh soal dan pembahasan tentang pencerminan terhadap garis y x dan y. Cara sederhana dan mudah untuk menyelesaikan transformasi laplace coro goblok2an dada banyak fungsi dari penggunaan transformasi laplace diantara nya untu slideshare uses cookies to improve functionality and performance and to provide you with relevant advertising.
Secara sederhana prosedur dasar pemecahan menggunakan metode transformasi laplace adalah.
Belajar Matematika 9 Contoh Soal Transformasi Lapace 5
Transformasi Laplace Teknik Mesin 2011 Universitas Brawijaya
Belajar Matematika 9 Contoh Soal Transformasi Lapace 5
Transformasi Laplace X S Z X T X T Z 1 X S Ppt
Ref Advanced Engineering Mathematics Erwin Kreyszig Ppt
Ref Advanced Engineering Mathematics Erwin Kreyszig Ppt
Contoh Soal Dan Jawaban Transformasi Laplace
Soal Transformasi Laplace 2 Part 1
Contoh Soal Transformasi Z Zona Ilmu 6
Transformasi Laplace Teknik Mesin 2011 Universitas Brawijaya
Persamaan Differensial Biasa Ppt Download
Pembuktian Rumus Transformasi Laplace Rifandy Blog
Doc Bab 6 Transformasi Laplace Dhedi Hermawan Academia Edu
Transformasi Laplace Dan Diagram Blok
Transformasi Laplace Team Dosen Ppt Download
Transformasi Laplace Team Dosen Ppt Download
Pd Non Eksak Variabel X Y Taufiqur Rokhman
Matematika Teknik Ii Taufiqur Rokhman
Transformasi Laplace Jika Invers Transformasi Laplace
Contoh Soal Transformasi Z Zona Ilmu 6
Modul 3 Transformasi Laplace Authorstream
Transformasi Laplace Solusi Transformasi Laplace Inverse
Pdf Transformasi Laplace 2 1 Rumus Rumus Pembuktian
Transformasi Laplace Solusi Transformasi Laplace Inverse
Resume Bab 4 Transformasi Z Dan Penggunaan Dalam
Contoh Soal Pd Orde 2 Non Homogen Taufiqur Rokhman
Dt E F T Lim Transformasi Laplace 56
Transformasi Laplace Solusi Transformasi Laplace Inverse
Transformasi Laplace Solusi Transformasi Laplace Inverse
Belajar Matematika 9 Contoh Soal Transformasi Lapace 5
Doc Transformasi Laplace Rahmat Budiarjo Academia Edu
Bahas Lengkap Integral Solusi Solusi Persamaan Differensial
Transformasi Laplace Team Dosen Ppt Download
Sistem Kendali Otomatis Transformasi Laplace
Belajar Matematika 1 Transformasi Laplace 1
Transformasi Laplace Fungsi F T Didefinisikan Sebagai
03 Transformasi Laplace Doc Document
Contoh Soal Transformasi Z Zona Ilmu 6
Ref Advanced Engineering Mathematics Erwin Kreyszig Ppt
Ppt Transformasi Laplace Powerpoint Presentation Id 3674173
Turunan Integral Persamaan Diferensial Sederhana Persamaan
Transformasi Laplace Jika Invers Transformasi Laplace
Bahas Lengkap Integral Solusi Solusi Persamaan Differensial
Mechanical Engineering Blog Mahasiswa Universitas Brawijaya
Analisis Rangkaian Listrik Analisis Menggunakan Transformasi
Transformasi Laplace Solusi Transformasi Laplace Inverse
Bab 6 Transformasi Laplace Pdf
Transformasi Laplace Teknik Mesin 2011 Universitas Brawijaya
Doc Transformasi Laplace Adriyan Saputra Academia Edu
Belajar Matematika 1 Transformasi Laplace 1
Jika Menggunakan Transformasi Laplace Maka Akan Menjadi
Persamaan Differensial Orde 1 Penyelesaian Dengan Menggunakan Faktor Integrasi Avi
Turunan Integral Persamaan Diferensial Dan
Contoh Soal Persamaan Diferensial Non Exact Taufiqur Rokhman
Pdf Transformasi Laplace La La Academia Edu
Belajar Matematika 9 Contoh Soal Transformasi Lapace 5
Transformasi Laplace Solusi Transformasi Laplace Inverse
Ppt Transformasi Laplace Powerpoint Presentation Id 3674173
Transformasi Laplace Team Dosen Ppt Download
Doc Pengertian Dan Pembahasan Tentang Transformasi Laplace
Pung Experience Aplikasi Pde Wave Laplace And Heat
Ppt Transformasi Laplace Powerpoint Presentation Id 3674173
Soal Soal Dan Pembahasan Pd Orde 2 Non Homogen Koef Konstan
Persamaan Differensial Biasa Ppt Download
Contoh Soal Rangkaian Listrik Docx Document
Pdf Transformasi Laplace Rizka Suhana Academia Edu
Contoh Soal Transformasi Z Zona Ilmu 6
Transformasi Laplace Inversi Authorstream
Transformasi Laplace Invers Youtube






















